engineering mechanics dynamics solution manual - Koran.ayodhya.co solution manual for engineering mechanics dynamics 14th edition by .
Engineering Mechanics Dynamics Meriam Kraige Solution Manual - 다른 표현을 사용해주시기 바랍니다. 건전한 인터넷 문화 조성을 위해 회원님의 적극적인 협조를 부탁드립니다.. 다른 표현을 사용해주시기 바랍니다. 건전한 인터넷 문화 조성을 위해 회원님의 적극적인 협조를 부탁드립니다.. Find your study resources The best documents shared by your fellow students, organized in one place..We have a huge collection of solutions and testbanks. We have been uploading solutions and testbanks but the product you are looking for may not have been uploaded yet.. this exam includes some parts all of the quizzes i offer but you may purchase separately if desired. [. 링크프라이스 문구-- 수입차 정비--안심정비, 이벤트--엔진출력이 예전같지 않다면 점화 플러그와 코일을 교체해 보세요.점화 플러그+코일 묶음 상품 출시,차량번호.
Polaris Cross Roads 2010 Wiring Diagram
Engineering Mechanics Dynamics (7th Edition) - J. L. Meriam, L. G. ... Engineering Mechanics Dynamics (7th Edition) - J. L. Meriam, L. G. Kraige
Engineering Mechanics Dynamics (7th Edition) - J. L. Meriam, L. G. ... Engineering Mechanics Dynamics (7th Edition) - J. L. Meriam, L. G. Kraige
Polaris Outlaw 90 2011 Fuse Box Diagram
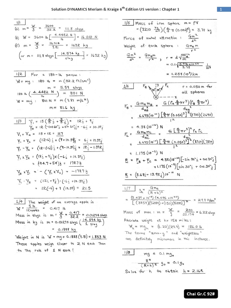
Engineering Mechanics Dynamics Solution Manual 6th PDF | Engineering ... Engineering Mechanics Dynamics Solution Manual 6th PDF | Engineering | Nature
Engineering Mechanics Dynamics Solution Manual 6th PDF | Engineering ... Engineering Mechanics Dynamics Solution Manual 6th PDF | Engineering | Nature
Polaris Fuel Pump Wiring Diagram
Engineering Mechanics: Statics, 7th Edition
Engineering Mechanics: Statics, 7th Edition
Polaris 600 Rmk 2012 Fuse Box Diagram
Solutions to edition 6 - Solution manual Engineering Mechanics ... Solutions to edition 6 - Solution manual Engineering Mechanics: Dynamics - StuDocu
Solutions to edition 6 - Solution manual Engineering Mechanics ... Solutions to edition 6 - Solution manual Engineering Mechanics: Dynamics - StuDocu
Securely Verified